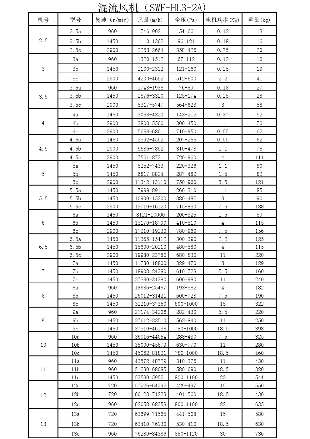
混流风机
¥0.00
¥390.00
注意!!此价格不包含电机,详情请咨询客服~!!混流风机是介于离心和轴流之间的一种新型风机。该风机采用先进的CAD系统软件,并以多目标优化,性能预示设计研制的高科技产品,应用斜流子午加速方法,亦称斜流风机。压力较同机号轴流机高,风量较同机号离心风机大,具有效率高、高效运行区宽等特点。广泛应用于民用建筑通风排风、冷库、纺织工厂等多变化工况条件,可替代低压离心风机,并具有空气轴向流动,占地面积小、噪音小、结构紧凑、安装维护方便等特点。 本系列产品分单速、双速、高压型和屋顶型四种型号。可根据不同的使用场合,合理的选
收藏
产品详情
产品评论



4.6363636363636(评分)
-
闾齐

好
-
微信用户

11111
-
-
微信用户

-
-
微信用户

-
-
微信用户

-
-
微信用户

-
-
微信用户

-
-
微信用户

-
-
微信用户

-
-
微信用户

-
-
微信用户

-
查看全部评论
产品推荐
